Pamiętaj, aby po quizie sprawdzić także fragmenty naszego Kursu zupełnie bezpłatnie – Sprawdź tutaj ✅
Możesz przejść do Quizu.
❗Rozpocznij klikając przycisk ❗
⬇⬇⬇⬇⬇⬇⬇⬇⬇⬇⬇⬇⬇⬇⬇⬇⬇⬇⬇⬇⬇⬇⬇⬇⬇⬇
0 of 14 questions completed
Pytania:
You have already completed the quiz before. Hence you can not start it again.
Quiz is loading…
You must sign in or sign up to start the quiz.
You must first complete the following:
0 z 14 odpowiedzi było poprawnych
Twój czas:
Czas się skończył
Udało Ci się zdobyć 0 z 0 punktów, (0)
Earned Point(s): 0 of 0, (0)
0 Essay(s) Pending (Possible Point(s): 0)
Liczba
jest równa:
Liczba
jest równa:
Równość
jest:
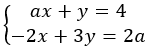
Para liczb x = 2 i y = 2 jest rozwiązaniem układu równań
dla:
Proste o równaniach y = (4m + 1)x – 19 oraz y = (5m – 4)x + 20 są równoległe, gdy:
Wykresem funkcji kwadratowej
jest parabola, której wierzchołkiem jest punkt o współrzędnych:
Rzucamy trzy razy symetryczną monetą. Niech p oznacza prawdopodobieństwo otrzymania dokładnie dwóch orłów w tych trzech rzutach. Wtedy:
Doświadczenie losowe polega na rzucie dwiema symetrycznymi monetami i sześcienną kostką do gry. Prawdopodobieństwo zdarzenia polegającego na tym, że wynikiem rzutu są dwa orły i sześć oczek na kostce, jest równe:
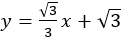
Prosta l jest nachylona do osi Ox pod kątem 30° i przecina oś Oy w punkcie ![]()

W trójkącie ABC punkt D leży na boku BC, a punkt E leży na boku AC. Odcinek DE jest równoległy do boku AB, a ponadto |AE| = |DE| = 4, |AB| = 6

Odcinek CE ma długość:
Na okręgu o środku w punkcie O wybrano trzy punkty A, B, C tak, że |∢AOB|= 70°, |∢OAC|= 25°. Cięciwa AC przecina promień OB. Wtedy miara ∢OBC jest równa:

Długość przekątnej sześcianu jest równa 6. Stąd wynika, że pole powierzchni całkowitej tego sześcianu jest równe:
Ile jest wszystkich liczb czterocyfrowych, większych od 3000, utworzonych wyłącznie z cyfr 1, 2, 3, przy założeniu, że cyfry mogą się powtarzać, ale nie wszystkie z tych cyfr muszą być wykorzystane?
Ile jest wszystkich liczb naturalnych dwucyfrowych podzielnych przez 6 i niepodzielnych przez 9?
Czy wiesz że dzisiaj możesz otrzymać 10% zniżki na kurs? Wystarczy że podczas zakupu wprowadzisz kod podany poniżej.
